一、产品介绍 我公司研发的5%联苯菊酯水乳剂用大量的去离子水代替了有机溶剂,在形成均匀水相后,然后再在水相中加入均匀油相,形成均相乳状液。加工工艺采用高速剪切方法使初生乳状液中较大的分散相液滴在高剪切力的作用下破裂成一系列小得多的液滴,有效增强了产品的稳定性。本产品性能优异,生物活性比较高,药效也比较持久,是土壤和木材防治白蚁理想的专用药物。
0.5公斤/瓶
1公斤/瓶
10公斤/桶
20公斤/桶
二、包装规格
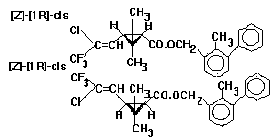
三、特点 1、大量的去离子水代替了有机溶剂; 2、高速剪切方法有效增强了产品的稳定性; 3、避免有机溶剂在贮存过程中易燃的危险; 4、同样也可以避免乳油性药物和可湿性粉剂因有机溶剂和粉对操作者的毒害以及对环境的污染; 5、性能优异,生物活性比较高,药效比较持久,是土壤和木材防治白蚁理想的专用药物。 四、理化性质 1、产品外观:白色稳定乳状液,久置后允许有少量分层,轻微摇动或搅动应是均匀的。 2、化学名称:(1R,S)-顺式(Z)2,2-二甲基-3-(2-氯-3,3,3-三氟-1-丙烯基)环丙烷羧酸-2- 甲基-3-苯基苄酯 3、分子式:C23H22ClF3O2 4、结构式: 5、相对分子量:422.9 6、毒性:中等毒 7、稳定性:对光稳定,在酸性介质中也较稳定,在常温下贮存一年仍较稳定,但在碱性介质中会分解。 8、储存:室温下通风阴凉处避光保存 五、使用方法
作物或范围
防治对象
制剂用药量
使用方法
土壤
白蚁
50-75克/平方米
喷洒
木材
250-625毫克/千克
浸泡